CÔNG TY CỔ PHẨN H-GROUP
Địa chỉ: Số 12 ngõ 942 đường Láng, quận Đống Đa, TP Hà NộiĐiện thoại: 024.8582.2159 - Fax: 024.3791.7621 Email: sales@lavme.vn Website: lavme.vn

Điện thoại: 024.8582.2159 - Fax: 024.3791.7621 Email: sales@lavme.vn Website: lavme.vn
Một trong những nguyên tắc phổ biến để đo lưu lượng chất lỏng hơi, khí là nguyên tắc thay đổi độ giảm áp suất qua ống thu hẹp
Hình 17.22 là mô tả một thiết bị thu hẹp được đặt trong lòng đường ống khi có lưu chất chảy qua sẽ có sự chênh áp suất trước và sau lỗ thu hẹp, độ chênh áp suất này phụ thuộc vào lưu lượng chảy qua ống:

Nguyên lý này được ứng dụng rất rộng rãi trong công nghiệp để máy đo lưu lượng dựa trên các thiết bị như tấm chắn (blende, orifice plate), ống venturi (Venturi tube), ống Dall (Dall flow tube), ống phun (flow nozzle).
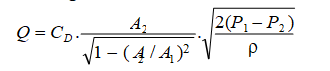
Để được dùng như một thiết bị đo lưu lượng, ta cần tính toán lưu lượng dựa trên độ chênh áp suất:
– Với các lưu chất không chịu nén: trong trường hợp đơn giản, ta coi đường ống nằm ngang ta có lưu lượng được tính là:

với: ρ – tỷ trọng của lưu chất
CD – hệ số phóng (discharge coefficient): với ống venturi CD = 0,97; với tấm chắn CD = 0,6
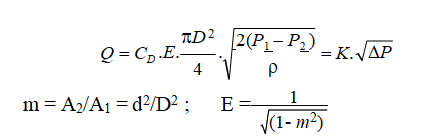
Trong tính toán thực tế, với đường kính ống là D và đường kính vật thu hẹp là d ta có :

Giá trị CD có thể được thành lập bằng cách thí nghiệm và có thể tính toán được CD dựa theo các đồ thị cho sẵn (ví dụ như chuẩn ISO 5167:1980 cho phép tính toán CD dựa trên phương trình Stolz hay chuẩn BS 1042 cho phép tính ra CD từ các đồ thị).
Tấm chắn: được dùng để tạo ra một sự thay đổi đột ngột trong đường ống, đơn giản chỉ gồm một tấm kim loại hình tròn được chèn thêm vào mặt bích của đường ống như hình 17.23. Tấm chắn có tác dụng tạo ra một sự chênh áp đo được tại D và D/2 với D là đường kính của ống.

Ta có thể thấy áp suất sau tấm chắn thấp hơn áp suất trước khi đi qua tấm chắn do tấm chắn đã gây ra một tổn hao áp suất (permanent pressure loss). Với tấm chắn tổn hao này từ 0,51.∆P ÷ 0,96.∆P, với ống venturi là 0,1.∆P ÷ 0,15.∆P.
Khi lưu chất chảy qua tấm chắn, sẽ có một lực đáng kể tác dụng lên bề mặt tấm chắn do vậy bề mặt phải đủ cứng để chống lại tác động của lực này. Chuẩn BS 1042 đưa ra độ dày chuẩn tối đa là 0,1D. Tấm chắn cũng phải có cạnh sắc, cạnh này sẽ phải chịu được các ảnh hưởng của sự mài mòn từ dòng chảy của lưu chất nên được làm từ các vật liệu như thép chống gỉ để tránh sự ăn mòn quá mức. Trên bề mặt tấm chắn cùng phải khoan một lỗ nhỏ, đối với chất lỏng, lỗ nhỏ này được đặt ở phía trên để làm đường thoát cho các khí và hơi; đối với các lưu chất là khí hay hơi, lỗ lại phải nằm ở phía dưới, nằm ngang bằng với thành ống
để cho phép các hơi ngưng tụ có thể đi qua.
– Lắp đặt tấm chắn: cần thận trọng khi tiến hành lắp đặt tấm chắn trên đường ống. Việc lắp đặt quá gần những chỗ rẽ hay van điều khiển có thể gây ra sự thay đổi áp suất cục bộ, do vậy nên để một khoảng trống ít nhất là mười lần đường kính ống (10D) trước và sau tấm chắn.
Có nhiều cách bố trí các vòi lấy tín hiệu áp suất được sử dụng với các tấm chắn.
Các tấm chắn được sử dụng trong rất nhiều các ứng dụng thực tế và có thể nói là một thiết bị đo lưu lượng thông dụng nhất hiện nay.
– Đo độ chênh áp: việc chuyển đổi tín hiệu chênh áp thành tín hiệu điện đòi hỏi phải có một bộ biến đổi áp suất vi sai (∆P). Bộ biến đổi ∆P được kết nối qua một khối ống phân phối như hình 17.25a. Khối này cho phép bộ biến đổi được cách ly để tháo lắp hay bảo dưỡng thông qua các van B và C.
Van A là van cân bằng và được sử dụng trong quá trình điều chỉnh điểm không khi van B và C đóng còn van A mở. Trong quá trình vận hành bình thường, van A luôn đóng. Khi vận hành các van này, phải đảm bảo rằng áp suất không thể đi qua được trong toàn bộ đường ống để tránh hư hỏng màng của bộ biến đổi. Luôn phải đảm bảo thứ tự: van A mở, van B, C đóng hay mở van B, C, đóng van A.
Việc lắp đặt đường ống dẫn áp suất cũng phải thận trọng để tránh các vấn đề xảy ra do sự ngưng tụ của các chất lỏng (đối với đo khí) và các túi khí (đối với đo chất lỏng): với chất khí nên đặt BCĐ ∆P ở trên tấm chắn với đường ống thẳng lấy áp suất đi xuống dưới; với chất lỏng thì BCĐ ∆P nên đặt ở dưới tấm chắn với đường ống thẳng lấy tín hiệu áp suất đi lên. Nếu như vì điều kiện vị trí mặt bằng không cho phép thực hiện được cách lắp đặt như trên thì phải bố trí đường ống với các vòi thoát (ống dẫn khí hay ống thoát chất lỏng)
Bảng 17.1 trình bày sự so sánh một số phương pháp máy đo lưu lượng thường dùng trong công nghiệp:
Bảng 17.1. So sánh một số phương pháp đo lưu lượng thường dùng trong công nghiệp
| Lưu lượng kế Môi trường đo | Dòng xoáy | Siêu âm | Điện từ | Chênh áp | |
| lỏng, hơi, khí | lỏng | lỏng (dẫn điện) | lỏng, hơi, khí | ||
| Đường kính ống | mm | 10 ÷ 300 | 25 ÷ 100 | 2,5 ÷ 3000 | 10 ÷ 1000 |
| Dải nhiệt độ | 0C | -200 ÷ 400 | -20 ÷ 180 | -40 ÷ 180 | -200 ÷ 500 |
| Áp suất lớn nhất | bar | 64 | 40 | 40 | 315 |
| Độ chính xác | % | ± 1 | ± 0,5 ÷ 2 | ± 0,2 ÷ 1 | ± 0,5 ÷ 2 |
| Tổn hao áp suất (liên quan đến độ chênh áp) | % | 1 ÷ 2 | 0 | 0 | 0,4 ÷ 0,95 |
| Dải độ nhớt | 0,01 ÷ 20 | 0,1 ÷ 1000 | 0,1 ÷ 1000 | 0 ÷ 1000 | |
Hiện nay có rất nhiều loại đồng hồ đo lưu lượng nước: đo lưu lượng nước dạng điện từ, đồng...
Máy đo lưu lượng là một thiết bị được sử dụng để đo lường khối lượng hoặc tỷ lệ lưu...
Cảm biến đo lưu lượng dựa vào chênh lệch áp suất Lưu lượng kế loại này hoạt động dựa vào...
Giới Thiệu về Máy Siêu Âm Đo Lưu Lượng Nước Máy siêu âm đo lưu lượng nước là một công...
Đo lưu lượng đóng một vai trò rất quan trọng trong các mạng lưới vận chuyển chất lưu (ví dụ...
Máy siêu âm đo lưu lượng nước được sử dụng rộng rãi trong nhiều ứng dụng công nghiệp và dân...




